一个动态电路的响应是各种能量来源共同作用的结果。作用于电路的能量来源于两个方面:
一是由外施激励(即独立电源)输入的;二是由电路中储能元件(L、C)储存的。把某时刻t0的电容电压值和电感电流值称为电路在t0时刻的“状态”,则电路在某时刻t0之后的响应就是由外施激励“输入”和电容、电感在t0时刻的“状态”共同决定的。
零输入响应(zero-input response):动态电路没有外施电源激励,仅由动态元件的初始储能引起的电路响应。此时 uC ( 0+ )或iL( 0+ ) 被视为一种输入信号。
1.RC电路零输入响应
图示电路,求 uC(t)和 i(t)。
解:由图可知,uC (0-) = U0

由uC求得i为:

讨论:
(1)时间常数τ——反映了电路过渡过程时间的长短。
物理意义:uC衰减到0.368UC(0+) 所需的时间。
从理论上讲 t →∞时,电路才能达到稳态。但实际上一般认为经过3τ-5τ 的时间, 过渡过程结束,电路已达到新的稳态。

τ大:过渡过程时间长;τ小:过渡过程时间短。
![]()
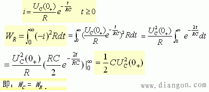
(2)能量关系
电容储存的能量: 
电阻吸收(消耗)能量:

C的能量不断释放,被R吸收, 直到全部储能消耗完毕。
2.RL电路的零输入响应
求电感电压uL(t)和电流i(t)。

解:

3.一阶电路零输入响应解的一般公式
一阶电路的零输入响应是由储能元件的初始值引起的响应,它们都是由初始值衰减为零的指数衰减函数。
![]()
一阶电路的零输入响应和初始值成正比,称为零输入线性。
(1)τ体现了一阶电路的固有特性,衰减快慢取决于时间常数τ。RC电路τ = RC,RL电路τ = L/R。
(2) 同一电路中所有响应具有相同的时间常数。
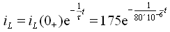
例5. 图示电路为一台300kW汽轮发电机的励磁回路。已知电压表量程为50V。开关未断开时,电路中电流已经恒定不变。

在t = 0时S打开,现象:电压表坏了。试分析。
分析:
iL (0+)=iL(0-)=35/0.2=175 A= I0
![]()
![]()
uV (0+)= -875 kV !
猛的切断电感电流时,必须考虑磁场能量的释放。若能量较大,而又必须在短时间内完成电流的切断,则必须考虑如何熄灭因此而出现的电弧(一般出现在开关处)的问题。所以在断开前,应在它的两端并联上灭磁电阻。

文章摘自电工电气学习网感谢分享



评论0