在电力系统中,变压器是一种重要的设备,它的主要功能是将电能从一个电压等级转换到另一个电压等级。然而,对于变压器来说,其容量和功率因数的理解却是非常重要的。本文将详细解释这两个概念以及它们之间的关系。
首先,我们需要理解变压器的容量单位是kVA(千伏安),而用电设备的功率单位是kW(千瓦)。这两者之间的区别在于,计算设备功率kW的时候是需要乘功率因数的。也就是说,1000kVA容量的变压器,只有在功率因数为1的情况下,才会能满载输出1000kW的功率。但是在实际应用中基本不可能。
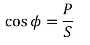
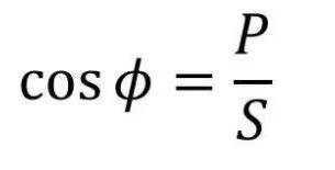
在设计的时候,需要留有一定的余量,一般按照90%的符合率计算,比较经济合理。也就是说,如果我们通过功率补偿,把功率因数补偿到0.95及以上,那么该变压器可以输出900×0.95=855kW有功功率。功率因数是指有功功率和视在功率的比值,一般用cosφ表示。
然后,我们来看一下有功功率、无功功率和视在功率的概念。有功功率是用电器实际消耗的功率,即电能转换为其他形式能量。无功功率是指某些设备并没有真正消耗电,它只是暂时把电存起来的那部分功率。视在功率是指电源提供的总功率。
在实际运行中,我们需要保证功率因数在0.9以上的要求。如果功率因数低于0.9,电力公司会有相应的处罚;但是功率因数不能超过1,否则系统电压会升高,影响系统正常运行。
最后,我们来分析一下题目“有一台1000kVA的老式变压器,现有负荷约200kW,如果要增加约600kW的新负载,这台变压器能否承受?”。题目中说,1000kVA的变压器原来给200kW的用电设备供电,现在又加了600kW的用电设备,总共用电设备的有功功率达到了800kW。这个数值并没有超过计算值,因此,只要我们能把功率因数提高到需要的数值,这台1000kVA的变压器完全能够长期安全运行。
总的来说,理解和掌握变压器的容量和功率因数的关系,对于电力系统的运行和维护具有重要的意义。
文章摘自电工电气学习网感谢分享





评论0