本期由T/CECS 203-2021《自密实混凝土应用技术规程》主编单位厦门市建筑科学研究院建筑材料研究所叶俊辉研发工程师,带来标准分析解读。
1 编制背景和意义
许多工程建设依靠传统的施工方式已不能满足所有工程实际需要。尤其像结构物梁板柱交接钢筋密集部位、隧道衬砌、桥梁钢管混凝土施工等工程建设施工工程中依靠人工振捣已不能满足实际需要。其中自密实混凝土(见图1)良好的流变性能能够解决上述施工过程的难题,提高工程施工效率,得到广泛的应用。与普通混凝土相比,自密实混凝土是具有高流动性、均匀性和稳定性,浇筑时无需振捣,能够在自重作用下流动并均匀密实地充满限定空间的混凝土。

图1 自密实混凝土
近年来,随着混凝土原材料的变化以及建筑技术的不断进步,该规程的部分条文已不能够有效指导自密实混凝土的应用,需要对规程进行修订。根据中国工程建设标准化协会发布的《关于印发〈2018年第二批协会标准制订、修订计划〉的通知》(建标协字[2018] 030号)文件,批准清华大学、厦门市建筑科学研究院有限公司作为主编单位,对《自密实混凝土应用技术规程》JGJ/T 283-2012 与《自密实混凝土应用技术规程》CECS 203:2006进行政府标准转化和合并修订。标准编制组根据批发文件编制要求,结合对该标准的调研、试验研究及工程应用研究等工作,会同相关编制单位,共同完成了标准的编制任务,并在2020年7月通过协会组织的验收。新标准自2021年11月01日起实施(见图2)。

图2 T/CECS 203-2021《自密实混凝土应用技术规程》
2 标准的主要技术内容变化
本次修订的主要工作是对两个标准进行合并,取长补短,删除不适用的条文,同时增加最新的参考标准及技术指标,修订的主要内容有:
(1)重新修订自密实混凝土的定义及其他术语;
(2)增加引用近年来新发布的掺合料产品标准;
(3)对原材料的性能做更严格的规定;
(4)调整自密实混凝土评价体系;
(5)重新调整指标参数;
(6)扩大胶凝材料用量范围;
(7)修改和增加配合比设计中的胶凝系数;
(8)增大混凝土试配时水胶比的变动幅度;
(9)修正施工时的技术要求;
(10)更改检验方式及增加检验频率等内容。
3 标准的主要技术条文解读
3.1术语与符号
新标准T/CECS 203-2021新增“J环高差”、“V漏斗排空时间”和“U型箱填充高度”术语。对自密实混凝土及相关术语进行做了略微修订。具体修改如下所示:
(1)自密实混凝土(self-compacting concrete):拌合物的填充性、间隙通过性和抗离析性满足设计要求,浇筑时无需振捣,能够在自重作用下流动并均匀密实地充满限定空间的混凝土。
(2)J环高差(J-ring blocking step):J环试验中,混凝土拌合物扩展终止后,扩展面中心混凝土距J环顶面高度与J环外边缘处混凝土距J环顶面高度的差值。
(3)V漏斗排空时间(V-funnel emptying time):V漏斗试验中,从出料口底盖开启至混凝土拌合物排空为止的时间。
(4)U型箱填充高度(U-channel filling height):U型箱试验中,将混凝土拌合物装满U型箱一侧,打开间隔板后拌合物在U型箱另一侧上升的最大高度。
3.2原材料
新标准T/CECS 203-2021 第3章主要新增石灰石粉等惰性掺合料要求和修订粗骨料的性能指标。
第3.1.2条 更新并增加引用相关产品标准,如《用于水泥、砂浆和混凝土中的粒化高炉矿渣粉》GB/T 18046、《砂浆和混凝土用硅灰》GB/T 27690、《用于水泥、砂浆和混凝土中的石灰石粉》GB/T 35164。自密实混凝土宜掺入石灰石粉等惰性掺合料,并应符合相关矿物掺合料标准的要求。石灰石粉(见图3)是惰性掺合料,石灰石粉掺量较低时,起到一定的填充作用,有利于提高混凝土的密实度;如果石灰石粉掺量过多,则参与水化反应的水泥量相对减少,导致混凝土力学性能下降。根据文献资料及验证试验结果,自密实混凝土中石灰石粉的最大掺量不宜大于20%。

图3 石灰石粉
第3.2.1条 根据不同强度等级,对粗骨料中的针、片状颗粒含量进行分级要求(新旧对比见表1),限值参考《建设用卵石、碎石》GB/T 14685-2011。
表1 粗骨料的针、片状颗粒含量限值(%)

根据国内外标准相关规定和工程实际经验,粗骨料最大粒径不宜超过20 mm。对配筋密集、形状复杂的结构或有特殊要求的工程,粗骨料的最大公称粒径宜根据实际情况通过试验确定。
3.3性能
新标准T/CECS 203-2021 第4章主要自密实混凝土拌合物性能指标进行修订。
第4.1.1条 对自密实混凝土拌合物性能进行分级,可分成SF1、SF2、SF3三个等级。自密实混凝土拌合物性能指标是为保证浇筑时混凝土具有充足的填充性、间隙通过性、抗离析性,在自重作用下流动并均匀密实地充满模板空间而制定,应根据具体情况选择相应等级进行设计与试验。
第4.1.2条 自密实混凝土拌合物性能包括填充性、间隙通过性和抗离析性,性能指标见表2。
表2 自密实混凝土拌合物性能指标

通过工程调研及试验验证,选取合理且可操作性强的测试指标来表征自密实混凝土性能,并分为2个控制指标和4个限选指标,采用2+1的方式灵活选择测试指标
其中坍落扩展度SF指标变化详见表3。

表3 坍落扩展度SF指标变化
该性能指标修订依据:根据工程调研情况,大多数自密实混凝土的坍落度控制值为600~700mm,最低控制值500mm;自密实混凝土试验过程中超过800mm时基本已处于离析状态;日本标准Recommendation for self-compaction concrete规定范围为500~750mm,台湾自充填混凝土CNS 03315亦规定范围500~750mm之间,欧洲标准The European guidelines for self-compacting concrete, specification,production and use无上下限规定,我国高抛免振捣混凝土应用技术规程JGJ/T 296-2013规定500~650mm。
其中扩展时间T500指标变化详见表4。
表4 扩展时间T500指标变化

该性能指标修订依据:根据工程调研,大多数工程案例中控制值在3s~20s之间,实测值集中在3s~10s之间;根据验证试验,SF1~SF3的T500测试结果没有明确的界限值,数据在3~20s范围内,因此以统一区间进行规定,同时3~20s区间以外时自密实混凝土拌合物状态均不好;国内外标准规定大多在3~25s范围内;如自密实混凝土应用技术规程CECS 203:2006规定范围在3~20s;高抛免振捣混凝土应用技术规程JGJ/T 296-2013规定范围在3~5s;台湾自充填混凝土CNS 03315规定范围3~20s;日本Recommendation for self-compaction concrete规定范围3~25s;Specification and guidelines for self-compacting concrete规定2~5s。
其中坍落度H和J环高差BJ是新增性能指标。
该性能指标新增依据:坍落度为限选指标,指标根据最大骨料粒径宜为20mm,最多堆积3个最大骨料高度,以此保证自密实混凝土拌合物浆体裹挟粗骨料扩展的能力,同时坍落度指标在工程现场的可操作性较强。原标准为J环扩展度,在和易性不好、骨料堆积状态下敏感性和科学性不够,数据不能反映真实情况,因此指标修改为J环高差。该指标为限选指标,参考铁路标准《高速铁路CRTSIII型板式无砟轨道自密实混凝土》QCR 596-2017的控制值(18mm),本标准规定为20mm,J环及J环高差测试见详见图4。

图4 J环及J环高差测试
其中V漏斗排空时间和U型箱填充高度指标变化详见表5。
表5 V漏斗排空时间和U型箱填充高度指标变化

该性能指标修订依据:V漏斗(见图5)排空时间,根据工程调研,大多数工程V漏斗排空时间为4~20s;根据文献调研,大多数 V漏斗排空时间集中为3~15s;根据验证试验,V漏斗在4s~20s区间能够保证大多数自密实混凝土拌合物状态良好;日本标准JSCE-D101高流動化コンクリート施工指針的上限值为20s,因此在原版本《自密实混凝土应用技术规程》CECS 203:2006基础上,设置总体指标区间为4s~20s。U型箱(见图5)填充高度,根据工程调研,该指标合理且应用广泛,继续沿用原《自密实混凝土应用技术规程》CECS 203:2006的设置。

图5 (左)V漏斗,(右)U型箱
3.4配合比设计
新标准T/CECS 203-2021 第5章主要是对配合比计算中水胶比公式进行修订。
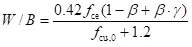
第5.0.6 条中第8条 当自密实混凝土强度等级不大于C60时,水胶比(W/B)可按下列要求确定:
(1)根据工程所使用的原材料,应通过建立的水胶比与自密实混凝土抗压强度关系式计算得到水胶比;
(2)当不具备上述试验统计资料时,可按下式计算:

γ ——矿物掺合料的胶凝系数;石灰石粉的β不大于0.2、I级或II级粉煤灰的β不大于0.3、S95或S105级矿渣粉的β不大于0.4时,建议分别取0.2、0.6和0.9。
该系数修订依据:石粉掺量20%及以下时,对混凝土的强度影响较小,水胶比公式中石粉胶凝系数为0.2时的计算强度,实测28d强度略大于计算强度时,能保证按公式计算的水胶比配制的混凝土实际强度满足设计要求。结合石粉特性、文献资料及验证结果,石粉系数设置为0.2比较合理。
3.5施工
第7.2节和第7.3节进行了精简、合并,引用相关标准的条文就直接提供标准名称和标准号,不再描述引用条款内容。
第7.3.7条中的第四点,新增“混凝土从管底顶升浇筑时,多分腔的钢管混凝土结构应采用均匀对称浇筑方法”。
3.6质量检验与验收
第8.2.1 自密实混凝土拌合物性能除应符合现行国家标准《混凝土结构工程施工质量验收规范》GB 50204的规定外,还应符合下列规定:
(1)混凝土拌合物性能指标检验应包括坍落扩展度和扩展时间,并至少选择一项限选指标;混凝土拌合物不得出现外沿泌浆和中心骨料堆积现象;
(2)出厂检验时,开盘前三车每车取样检测,之后每100 m³相同配合比的混凝土至少应检验1次;当一个台班相同配合比的混凝土不足100 m³时,检验不得少于1次。
该规定修订依据:自密实混凝土拌合物性能指标包括控制指标和限选指标,控制指标为每次检验必须测试的指标,包括坍落扩展度和扩展时间;限选指标提供四个,包括坍落度、J环高差、V漏斗排空时间和U型箱填充高度,每次检验时,限选指标需至少测试一项;自密实混凝土对拌合物状态的控制比普通混凝土严格,因此出厂检验时,除了按普通混凝土检验频次进行检测外,开盘前三车每车应取样检测。
4 结语
本规程的发布实施,将有效指导自密实混凝土原材料选择、性能、配合比设计、施工及质量验收等,进一步推动自密实混凝土在工程建设中的应用,对规范自密实混凝土的应用及保证工程质量具有重要意义。
本文摘自公众号厦门硅酸盐协会 ,感谢原作者分享,本文仅供参考学习,如有侵权请联系删除!
微信扫描下方的二维码阅读本文




评论0